Ascensão e declínio da capacidade física na população em geral: um estudo longitudinal de 47 anos.
Com o envelhecimento, ocorre um declínio progressivo no tecido e na função do músculo esquelético, que pode se tornar clinicamente significativo na sexta década de vida, afetando a independência e a saúde. Observações longitudinais em atletas de elite mostram que o pico de desempenho físico é atingido antes dos 35 anos, apesar do treinamento contínuo, sugerindo que os processos teciduais subjacentes à disfunção muscular podem começar décadas antes de se tornarem clinicamente relevantes. Para responder à questão de se o padrão de declínio de desempenho em atletas também se aplica à população em geral, é necessário um estudo longitudinal baseado na população.
- O principal objetivo deste estudo foi avaliar a capacidade física medida objetivamente desde a adolescência até a terceira idade. Utilizaram a coorte longitudinal sueca de base populacional para Atividade Física e Aptidão Física (SPAF), nascida em 1958, para analisar o padrão de mudanças na capacidade aeróbica, resistência muscular e potência medidas objetivamente em mulheres e homens, desde a adolescência (16 anos; 1974) até o início da terceira idade (63 anos; 2021).
- Um segundo objetivo foi avaliar possíveis diferenças entre os sexos e, em terceiro lugar, avaliar a influência da atividade física no tempo livre e do nível educacional na capacidade física ao longo da vida.
Métodos
- Na coorte populacional sueca (SPAF),
- 427 indivíduos (48% mulheres) nascidos em 1958 foram submetidos a avaliações objetivas repetidas da capacidade física, dos 16 aos 63 anos de idade.
- Modelos lineares mistos foram utilizados para estimar as mudanças específicas por idade e sexo na coorte original durante o período do estudo.
Resultados
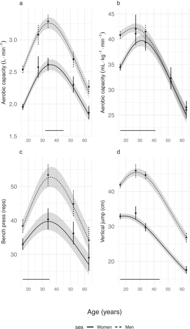
- A capacidade aeróbica máxima estimada e a resistência muscular (repetições no supino) atingiram o pico entre os 26 e 36 anos em ambos os sexos e declinaram gradualmente, começando em 0,3% a 0,6% ao ano e acelerando para 2,0% a 2,5% ao ano (efeito principal da idade p < 0,001 e do sexo p < 0,01), sem diferença entre os sexos nas taxas de declínio.

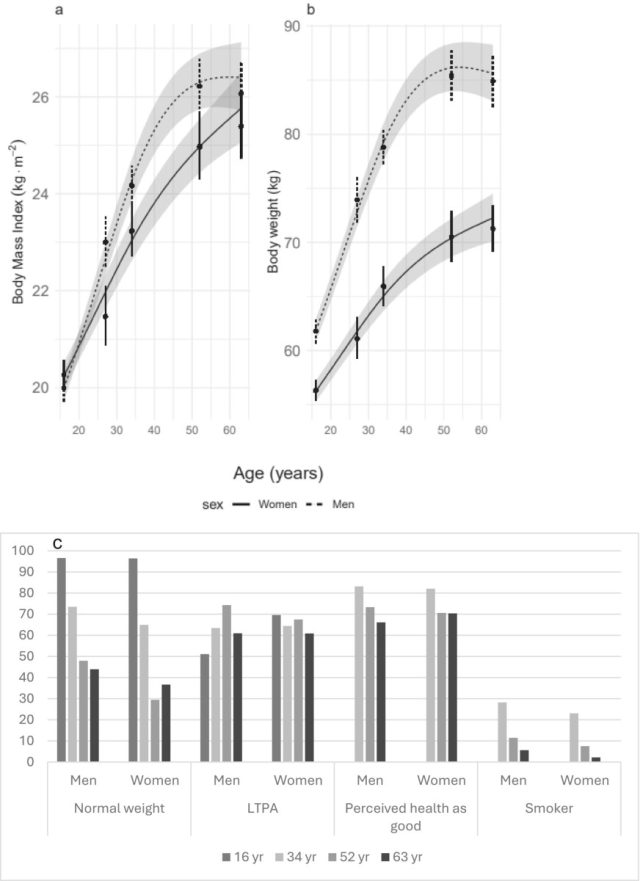
Indicadores de saúde e estilo de vida de 16 a 63 anos. (a) Índice de massa corporal estimado (kg·m⁻² ) a partir do modelo linear misto otimizado. (b) Peso estimado (kg) a partir do modelo linear misto otimizado. (c) O eixo y representa a porcentagem de participantes que (1) têm IMC < 24,5 para meninos e < 24,7 para meninas aos 16 anos e IMC < 25 em idades mais avançadas, (2) praticam atividade física no tempo livre (responderam sim (sim/não)), (3) percebem sua saúde como boa em uma escala de 3 níveis (ruim, boa ou ruim e boa) e (4) são fumantes (responderam sim (sim/não)). AFTL = atividade física no tempo livre.
- A potência muscular foi medida pelo teste de salto de Sargent, com os homens atingindo o pico aos 27 anos e as mulheres aos 19 anos.
- A taxa de declínio foi pequena inicialmente (0,2% a 0,5% ao ano), mas aumentou com a idade (2,2% ao ano), em ambos os sexos (efeito principal da idade p < 0,001 e do sexo p < 0,001), sem diferença entre os sexos.
- O declínio geral na capacidade física do pico até os 63 anos variou de 30% a 48%.
- A variabilidade do desempenho físico entre os grupos aumentou consideravelmente com a idade, com a capacidade aeróbica relativa apresentando um aumento de 25 vezes, a altura do salto um aumento de quase 5 vezes e a resistência muscular um aumento de três vezes na variabilidade da adolescência aos 63 anos.

Capacidade física dos 16 aos 63 anos de idade. Os gráficos de linhas representam os valores estimados para toda a coorte basal com IC de 95% (área sombreada), transformados de volta para a escala original. Os pontos representam os valores observados e o desvio padrão. As linhas no eixo x indicam uma diferença entre os sexos na inclinação do desempenho relativo.
- Maior atividade física no tempo livre aos 16 anos e o início da atividade física na idade adulta estiveram associados a um melhor desempenho em todos os indicadores ( p = 0,00–0,02); possuir um diploma universitário esteve positivamente associado à capacidade aeróbica absoluta ( p = 0,04) e à resistência muscular ( p = 0,02).
Conclusões
A coorte populacional sueca SPAF mostra o mesmo padrão de alterações na capacidade física na idade adulta que já havia sido demonstrado para atletas de elite.
Isso confirma a ideia de que um declínio na capacidade física pode ser observado antes dos 40 anos, o que pode levar posteriormente a disfunções físicas clinicamente significativas, especialmente em indivíduos com estilo de vida sedentário.
- Citação: M. Westerståhl, G. Jörnåker, E. Jansson, et al., “ Rise and Fall of Physical Capacity in a General Population: A 47-Year Longitudinal Study,” Journal of Cachexia, Sarcopenia and Muscle 16, no. 6 (2025): e70134 .
- Leia a versão original e completa do artigo nesse LINK.
Timóteo Araújo
Profissional de Educação Física, com experiência de 25 anos na área da Atividade Física, Vida Ativa e Longevidade. Atuando no Centro de Convivência AMI - Bem Estar.

