Associação entre a frequência de cumprimento dos limites diários de passos e mortalidade por todas as causas e doenças cardiovasculares em mulheres idosas
Objetivo Examinar as associações entre o número de dias por semana em que vários limites diários de passos foram atingidos e a mortalidade por todas as causas e a incidência de doenças cardiovasculares (DCV) em mulheres idosas.
Métodos
- Um estudo de coorte prospectivo com 13.547 mulheres livres de DCV e câncer (idade média de 71,8 anos).
- Participantes que usaram um acelerômetro ActiGraph GT3X+ por 7 dias consecutivos entre 2011 e 2015 e foram posteriormente acompanhadas para mortalidade até 2024.
- As mulheres foram classificadas pelo número de dias por semana que atingiram limiares de passos de ≥4.000, ≥5.000, ≥6.000 ou ≥7.000 passos/dia.
- A regressão de riscos proporcionais de Cox estimou razões de risco (HR) e intervalos de confiança de 95% (IC de 95%) para mortalidade por todas as causas e incidência de DCV, ajustando para comportamentos de estilo de vida e comorbidades.
Resultados
- Durante um acompanhamento mediano de 10,9 anos, 1765 mulheres (13,0%) morreram e 781 (5,1%) desenvolveram DCV.
- Alcançar ≥4000 passos/dia em 1–2 e ≥3 dias/semana foi associado a menor risco de mortalidade em comparação com 0 dias/semana (HR ajustado 0,74 (IC 95% 0,65 a 0,86) e 0,60 (IC 95% 0,53 a 0,68), respectivamente).
- Para DCV, os resultados correspondentes foram 0,73 (IC 95% 0,58 a 0,92) e 0,73 (IC 95% 60 a 0,89), respectivamente.
- Uma relação dose-resposta curvilínea inversa foi observada para mortalidade, de modo que com limiares de passos mais altos (5000, 6000 ou 7000), o risco de mortalidade diminuiu ainda mais modestamente.
- Com ajuste adicional para média de passos diários, as associações foram atenuadas para nulas.

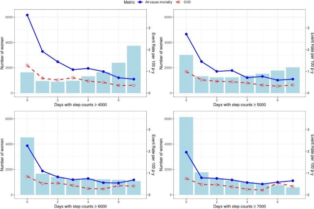
Figura: Distribuição de mulheres que atingiram os limiares diários de passos e taxas de mortalidade por todas as causas e doenças cardiovasculares (DCV). Número de mulheres que atingiram os limiares diários especificados de ≥ 4.000, ≥ 5.000, ≥ 6.000 e ≥ 7.000 passos/dia nos dias 0, 1, 2 e 7 (histogramas; eixo y esquerdo mostrando a frequência), sobrepostos às taxas de mortalidade por todas as causas (azul) e DCV (vermelho) em cada categoria (pontos; eixo y direito mostrando as taxas de eventos por 100 pessoas-ano).
Conclusões
Entre mulheres mais velhas, alcançar ≥ 4.000 passos/dia em 1–2 dias por semana foi associado a menor mortalidade e DCV, enquanto mais passos foram associados a resultados ainda melhores.
Um maior número de passos, independentemente dos padrões diários, está associado a melhores resultados de saúde.
- Citação: Hamaya R, Evenson KR, Lieberman D, et al, Association between frequency of meeting daily step thresholds and all-cause mortality and cardiovascular disease in older women, British Journal of Sports Medicine Published Online First: 21 October 2025. doi: 10.1136/bjsports-2025-110311
- Leia a versão original nesse LINK
Timóteo Araújo
Profissional de Educação Física, com experiência de 25 anos na área da Atividade Física, Vida Ativa e Longevidade. Atuando no Centro de Convivência AMI - Bem Estar.
