Efeito da felicidade e da incapacidade funcional na sobrevivência de idosos
O objetivo deste estudo foi investigar a sobrevivência e o risco de morte em um período de 10 anos de acordo com a funcionalidade física e a frequência do sentimento de felicidade em pessoas idosas, além de realizar uma análise do possível efeito mediador da felicidade na associação entre funcionalidade física e mortalidade.
Foi realizado um estudo longitudinal retrospectivo com 1.519 pessoas idosas (≥ 60 anos) entrevistadas para o Inquérito de Saúde de Campinas de 2008-2009.
Foi realizado um linkage entre o banco de dados da pesquisa e o Sistema de Informação sobre Mortalidade de Campinas, com busca ativa para a confirmação de óbitos e não óbitos de 2008 a 2018.
As variáveis de interesse foram a funcionalidade física (ausência/presença de limitações) e a frequência do sentimento de felicidade. Foram traçadas curvas de sobrevivência de Kaplan-Meier e realizada a análise de regressão de Cox para o cálculo das razões de risco (RR).
Também foi realizada uma análise de mediação utilizando o método Karlson-Holm-Breen (KHB). Na análise ajustada, a limitação funcional grave (RR = 2,8; IC95%: 2,0-3,8) e baixa frequência de felicidade (RR = 1,6; IC95%: 1,3-2,0) aumentaram o risco de óbito no período.
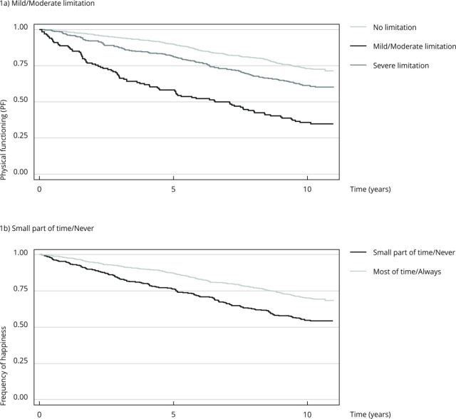
Gráficos: Os resultados da análise de Kaplan-Meier (As Figuras 1a e 1b mostraram que as taxas de sobrevivência foram menores para indivíduos com limitações funcionais graves e para aqueles que relataram menor frequência de felicidade. As diferenças entre as categorias foram estatisticamente significativas (p < 0,05).

A baixa frequência de felicidade mediou a associação entre funcionalidade física e mortalidade em 14%. Os resultados destacam a importância de estratégias voltadas para a manutenção da funcionalidade física durante o processo de envelhecimento. Além disso, uma maior frequência do sentimento de felicidade aumentou a sobrevivência da população.
Os resultados também mostram que a felicidade desempenha um papel importante de mediação na associação entre capacidade funcional e mortalidade em pessoas idosas.
Citação: Souza, D. B. de O., Alves, L. C., Barros, M. B. de A., Fehlberg, B. K., & Lima, M. G.. (2025). Effect of happiness and functional disability on older people’s survival. Cadernos De Saúde Pública, 41(3), e00054624.
- Leia a versão original e completa do artigo nesse LINK.
Timóteo Araújo
Profissional de Educação Física, com experiência de 25 anos na área da Atividade Física, Vida Ativa e Longevidade. Atuando no Centro de Convivência AMI - Bem Estar.
