Força muscular e mortalidade em mulheres de 63 a 99 anos
As Diretrizes de Atividade Física para Americanos, 2ª edição (2018), e uma Declaração Científica da Associação Americana do Coração de 2024 fornecem recomendações formais para a participação em atividades de fortalecimento da musculatura esquelética pelo menos 2 dias por semana para alcançar benefícios sistêmicos e funcionais para a saúde. Entre adultos de meia-idade e idosos, estudos têm demonstrado associações inversas entre força muscular e mortalidade.
Importância: A força muscular é um importante marcador de resiliência relevante para a manutenção da independência funcional e da longevidade.
Objetivo : Examinar as associações entre força muscular e mortalidade em mulheres de 63 a 99 anos, levando em consideração a atividade física e o comportamento sedentário medidos por acelerômetro, a inflamação sistêmica e outros marcadores de envelhecimento.
Desenho, Local e Participantes O estudo Objective Physical Activity and Cardiovascular Health foi um estudo de coorte prospectivo realizado desde o início do estudo (março de 2012 a abril de 2014) até 19 de fevereiro de 2023. As participantes eram mulheres ambulatoriais com idades entre 63 e 99 anos que realizaram testes de desempenho físico e utilizaram acelerômetros por 7 dias.
Exposição:
- Força de preensão da mão dominante, medida em kg por quartil (1: <14, 2: 14-19, 3: 19-24 e 4: >24) e
- Tempo em segundos para completar 5 levantamentos da cadeira sem auxílio por quartil (critérios padrão: 1: >16,7, 2: 16,6-13,7, 3: 13,6-11,2 e 4: ≤11,1).
Desfecho principal e medida: Mortalidade por todas as causas.
Resultados:
- O presente estudo incluiu 5472 mulheres
- (idade média [DP], 78,7 [6,7] anos;
- 1851 [33,8%] negras; 915 [16,7%]
- hispânicas/latinas;
- 2706 [49,5%] brancas)
- acompanhadas por uma média (DP) de 8,4 (2,4) anos.
Houve 1964 óbitos durante o período do estudo.
Controlando para idade e fatores sociodemográficos, de estilo de vida e clínicos, tendências inversas significativas na mortalidade foram evidentes
- nos quartis 2 a 4 da força de preensão (quartil 2: razão de risco [RR], 0,94; IC 95%, 0,85-1,06;
- quartil 3: RR, 0,85; IC 95%, 0,75-0,97;
- quartil 4: RR, 0,67; IC 95%, 0,58-0,78; P para tendência < 0,001) e
- do tempo para levantar da cadeira (quartil 2: RR, 0,79; IC 95%, 0,69-0,88;
- quartil 3: RR, 0,76; IC 95%, 0,67-0,87;
- quartil 4: RR, 0,63; IC 95%, 0,54-0,73; P para tendência < 0,001). tendência < 0,001).
O controle simultâneo adicional do tempo sedentário e da atividade física moderada a vigorosa atenuou as associações (força de preensão: quartil 2: HR, 0,95; IC 95%, 0,86-1,07; quartil 3: HR, 0,87; IC 95%, 0,76-0,99; quartil 4: HR, 0,70; IC 95%, 0,61-0,82; P para tendência < 0,001; levantar da cadeira: quartil 2: HR, 0,82; IC 95%, 0,73-0,92; quartil 3: HR, 0,82; IC 95%, 0,71-0,93; quartil 4: HR, 0,69; IC 95%, 0,59-0,79; P para tendência < 0,001).
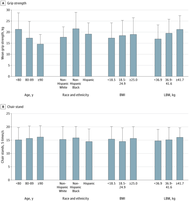
A Figura 1 mostra a força de preensão média não ajustada e a velocidade de levantar da cadeira de acordo com as categorias de idade, raça/etnia, IMC e massa magra estimada. A força de preensão foi progressivamente menor com o aumento da idade, variou entre raças/etnias e aumentou progressivamente com o aumento do IMC ou da massa magra. O tempo para levantar da cadeira foi mais lento com o aumento da idade, variou entre raças/etnias e IMC e foi mais lento com o aumento da massa magra.

Associações inversas semelhantes foram observadas ao controlar a velocidade de caminhada e o marcador inflamatório proteína C-reativa. As magnitudes da associação não diferiram entre os subgrupos definidos por idade, raça e etnia, índice de massa corporal, atividade física moderada a vigorosa, tempo sedentário ou tempo de caminhada cronometrado.
Conclusões e Relevância:
- Neste estudo com mulheres idosas ambulatoriais, maior força muscular foi associada a menor mortalidade, mesmo após o controle da atividade física medida por acelerômetro, do tempo sedentário, da velocidade de caminhada e da inflamação sistêmica.
- Esses achados sugerem que avaliar a força e promover sua manutenção são fundamentais para um envelhecimento saudável.
Citação: LaMonte MJ, Hyde ET, Nguyen S, et al. Muscular Strength and Mortality in Women Aged 63 to 99 Years. JAMA Netw Open. 2026;9(2):e2559367. doi:10.1001/jamanetworkopen.2025.59367
- Leia a versão original e completa do artigo nesse LINK.

Timóteo Araújo
Profissional de Educação Física, com experiência de 25 anos na área da Atividade Física, Vida Ativa e Longevidade. Atuando no Centro de Convivência AMI - Bem Estar.
