Variações mínimas combinadas de sono, atividade física e nutrição associadas a melhorias na expectativa de vida e na saúde: um estudo de coorte populacional
Sono, atividade física e nutrição (SPAN) são determinantes essenciais tanto da expectativa de vida (expectativa de vida) quanto da expectativa de vida livre de doenças (expectativa de vida saudável), porém, frequentemente são estudados isoladamente.
- Este estudo teve como objetivo determinar as melhorias mínimas combinadas em SPAN necessárias para uma maior expectativa de vida e uma maior expectativa de vida saudável.
Métodos
- Esta coorte prospectiva compreendeu 59.078 participantes do UK Biobank, recrutados entre 2006 e 2010 (idade mediana: 64,0 anos; 45,4% do sexo masculino).
- Entre 2013 e 2015, uma subamostra de participantes foi convidada a usar um acelerômetro de pulso por 7 dias.
- A atividade física moderada a vigorosa (AFMV; min/dia) e o sono (horas/dia) foram calculados usando um algoritmo validado baseado em dispositivos vestíveis.
- A dieta foi avaliada usando um escore de qualidade da dieta (EQD) de 10 itens, incluindo a ingestão de vegetais, frutas, grãos, carnes, peixes, laticínios, óleos e bebidas açucaradas (variando de 0 a 100; quanto maior, melhor a qualidade).
- A expectativa de vida e a expectativa de vida saudável (livre de doença cardiovascular (DCV), câncer, diabetes tipo II, doença pulmonar obstrutiva crônica (DPOC) e demência) foram estimadas em 27 combinações conjuntas de tercis do SPAN e um escore SPAN composto usando tábuas de vida.
Resultados
Durante um período médio de acompanhamento de 8,1 anos, ocorreram 2458 óbitos, 9996 casos de doenças cardiovasculares, 7681 casos de câncer, 2971 casos de diabetes tipo II, 1540 casos de DPOC e 508 casos de demência.
Em comparação com os tercis menos favoráveis, os tercis ideais (7,2–8,0 h/dia de sono; >42 min/dia de atividade física moderada a vigorosa; DQS de 57,5–72,5) apresentaram 9,35 anos adicionais de expectativa de vida (IC 95%: 6,67, 11,63) e 9,45 anos de expectativa de vida saudável (IC 95%: 5,45, 13,61).
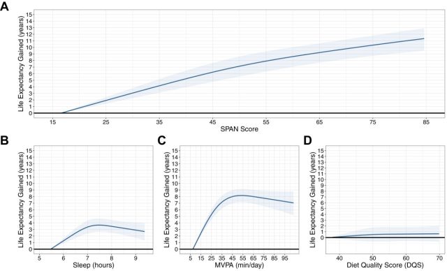
Em comparação com o 5º percentil, uma melhora combinada mínima de 5 min/dia de sono, 1,9 min/dia de atividade física moderada a vigorosa (MVPA) e um aumento de 5 pontos no Índice de Qualidade de Vida (DQS) (por exemplo, ½ porção adicional de vegetais/dia ou 1,5 porções adicionais de grãos integrais por dia) foi associada a 1 ano adicional de expectativa de vida (IC 95%: 0,69, 1,15). Para a expectativa de vida saudável, uma melhora combinada de 24 min/dia de sono, 3,7 min/dia de MVPA e um aumento de 23 pontos no DQS foi associada a 4,0 anos adicionais (IC 95%: 0,50, 8,61).
Figura 1 – Expectativa de vida e expectativa de vida saudável ajustadas por múltiplas variáveis, associadas à exposição conjunta ao sono, atividade física e nutrição (n = 59.078; eventos de mortalidade por todas as causas = 2.458).

Figura 2 – Associação dose-resposta multivariável ajustada entre A) escore composto de sono, atividade física e nutrição (SPAN), B) sono, C) atividade física e D) nutrição com a expectativa de vida (n = 59.078; eventos de mortalidade por todas as causas = 2.458). Nas figuras B–D, a relação dose-resposta individual entre sono, atividade física, nutrição e expectativa de vida foi examinada utilizando o 5º percentil para cada exposição como ponto de referência.

Interpretação
Melhorias modestas e simultâneas no sono, na atividade física e na dieta foram associadas a ganhos significativos na expectativa de vida e na qualidade de vida.
- Citação: Koemel, N. A., Biswas, R. K., Ahmadi, M. N., Teixeira-Pinto, A., Hamer, M., Leandro F.M. Rezende, et al. Minimum combined sleep, physical activity, and nutrition variations associated with lifeSPAN and healthSPAN improvements: a population cohort study. eClinicalMedicine, Volume 0, Issue 0, 103741
- Leia a versão original e completa do artigo nesse LINK.
Timóteo Araújo
Profissional de Educação Física, com experiência de 25 anos na área da Atividade Física, Vida Ativa e Longevidade. Atuando no Centro de Convivência AMI - Bem Estar.
